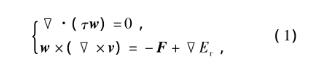
傳統軸面流動計算方法(一元或二元理論)一般是在一定假設下,依據“子流道等流量”原則,求解準正交線上的速度梯度方程,進而獲得軸面速度vm的分布情況,并確定軸面流網信息,但傳統方法僅滿足連續方程.為了提升流場與流網的計算精度,基于混流泵葉輪正反問題迭代法設計平臺,通過S1,S2流面的迭代計算,求解方程組:

其中,式中:τ為流道內的排擠系數;w為流體微團相對速度矢量;v為流體微團絕對速度矢量;F為單位質量流體的質量力;Er為單位質量流體相對運動機械能。
由此獲得的軸面速度vm分布不僅滿足連續方程,而且滿足運動方程.同時,葉輪設計過程中的正問題與反問題的迭代使流網計算也充分考慮了葉片三維形狀與厚度的影響,因此得到的軸面流網與節點上速度更加符合真實流動。
本文源自http://m.022waqx.com/news/jishuzhishi/391.html,轉載請注明出處。
(責任編輯:潛水渣漿泵http://m.022waqx.com)
聯系人:王經理
電話/傳 真:0312-3426585
廠 址:河北省保定市安國市石佛鎮石佛村紅星區41號
網 址:http://m.022waqx.com
郵 箱:415380809@qq.com
版權所有:河北聚信泵業有限公司|潛水渣漿泵
備案號:冀ICP備17024991號-1